Salon de l'Alternance: Les offres d'emploi
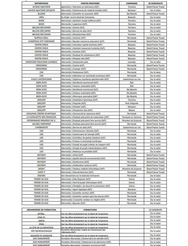
Nous vous invitons à cliquer sur l'image à droite contenant toutes les offres d'emploi qui seront proposées demain, jeudi 30 mai, au Salon de l'Alternance de Tonneins organisé par France Travail. En agrandissant l'image vous pourrez prendre connaissance des nombreuses offres.
A demain à La Manoque !

